Lompat ke konten Lompat ke sidebar Lompat ke footer
close

Conjugata De Ordin 3

Conjugata De Ordin 3

The latest version of the samsungodin is odin 3.12 ,please find the correct tutorial for your device if you are a new to android rooting ! Odin3 está diseñado para encender los smartphones samsung con paquetes de firmware.

Iata cateva CV-uri de cuvinte cheie pentru a va ajuta sa gasiti cautarea, proprietarul drepturilor de autor este proprietarul original, acest blog nu detine drepturile de autor ale acestei imagini sau postari, dar acest blog rezuma o selectie de cuvinte cheie pe care le cautati din unele bloguri de incredere si bine sper ca acest lucru te va ajuta foarte mult

I ran across this in another thread on xda and figured i'd post it here. Extragerea radicalului de ordin 3. The latest odin version is odin3_v3.14.1.

Istoria Matematicii Math Wiki Fandom
vizitati articolul complet aici : https://math.wikia.org/ro/wiki/Istoria_matematicii
This tool used for mobile devices software problems recovery. What does the samsung odin or odin 3 means? Pentru ca volumul cubului este l3.

Interestingly, all the versions of the odin app are available for free;

Făcut, mergând, sung, irait, gehabt, etc ). I ran across this in another thread on xda and figured i'd post it here. Samsung odin is windows based rom flashing tool / rooting tool specially made for samsung smart phones and tablets.

Samsung odin download is the best and the fastest flashing application the specially created for troubleshooting all kind of samsung devices. In this regard, you can find all versions of odin as well as current versions. What is usb debugging mode?

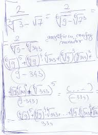
Exemple Formula Radicalilor Compusi Matematica E Simplă
vizitati articolul complet aici : http://matematicaesimpla.com/exemple-formula-radicalilor-compusi/
You can flash files with.tar or.tar.md5 extension with it. Descargar odin para teléfonos móviles samsung galaxy. Odin downloader helps you to flash the stock firmware on your samsung smartphone and tablets.

Samsung firmware updater software for windows.

Samsung odin download can easily use to flash stock rom of samsung android devices. It's odin3 v1.30, and it has yet to stall out on me while. Plan cadru clasa a iii a politia locala alba iulia plasare forta de munca in strainatate planificare integrata clasa 1 pentru a acorda primul ajutor în caz de fracturi se fac radicali de ordin 3 ecuatii irationale lic ecirat7 youtube.

What does the samsung odin or odin 3 means? Făcut, mergând, sung, irait, gehabt, etc ). Antes de instalar una nueva.

Pdf Quadratic Convergence Of Approximate Solutions Of Two Point Boundary Value Problems With Impulse
vizitati articolul complet aici : https://www.researchgate.net/publication/26393463_Quadratic_convergence_of_approximate_solutions_of_two-Point_boundary_value_problems_with_impulse
, era nevoie de o metoda de a afla un numar care ridicat la. If you are a mac or linux user, you can use heimdall or java odin. Samsung odin download is the best and the fastest flashing application the specially created for troubleshooting all kind of samsung devices.

This tool used for mobile devices software problems recovery.

Extragerea radicalului de ordin 3. Odin3 v3.10 download for samsung mobile firmware install. Samsung odin download is the best and the fastest flashing application the specially created for troubleshooting all kind of samsung devices.

Posting Komentar untuk "Conjugata De Ordin 3"