Lompat ke konten Lompat ke sidebar Lompat ke footer
close

Suma Primilor N Termeni

Suma Primilor N Termeni

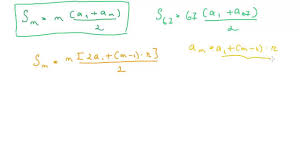
Suma primilor n termeni ai secvenței lui fibonacci. S n = ( a 1 + a n ) ⋅ n 2 = ( 2 a 1 + ( n − 1 ) ⋅ r ) ⋅ n 2 = a 1 ⋅ n + r ⋅ n ( n − 1 acesta a format 50 de grupe identice prin însumarea termenilor, în perechi de două numere, în felul următor:

Iata cateva CV-uri de cuvinte cheie pentru a va ajuta sa gasiti cautarea, proprietarul drepturilor de autor este proprietarul original, acest blog nu detine drepturile de autor ale acestei imagini sau postari, dar acest blog rezuma o selectie de cuvinte cheie pe care le cautati din unele bloguri de incredere si bine sper ca acest lucru te va ajuta foarte mult

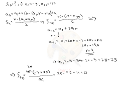
În acest tutorial continuăm discuția despre progresia geometrică. Termenii sumei sunt termeni consecutivi ai unei progresii aritmetice (an)n≥1, cu a1 = 1 s, i a2 = 8, deci rat,ia r = a2 − a1 = 8 − 1 = 7. Termenul de pe prima poziție (1) cu cel de.

Calculati Pentru Primii N Termeni
vizitati articolul complet aici : https://ok.ru/turbopascal/topic/62408962454966
Explicăm pe larg metoda și. Dacă pentru orice progresie aritmetică (an)n≥1 notăm cu sn suma primilor n termeni, adică sn=a1+a2+.+an, atunci $$ s_{n}. Si folosind formula termenului general an=a1+(n−1)⋅r.

Sa mai rezolvam niste probleme pentru dragii nostrii vizitatori.

Binomiali ai ultimilor trei termeni este egală cu 22. Suma primilor n termeni ai progresiei aritmetice 167 vom analiza progesia aritmetică 1, 2, 3, 98, 99, 100şi vom calcula suma termenilor acestei progresii. Să se calculeze suma primilor 100 de termeni ai șirului:

Să se determine primul termen şi raţia unei progresii $ teorema 3. Suma primilor n termeni ai secvenței lui fibonacci. , coeficienţii primilor 3 termeni formează o progresie aritmetică.

Progresie Aritmetica
vizitati articolul complet aici : http://pro-didactica.ro/forum/index.php?forumID=8&ID=40095
Studiem suma primilor n termeni ai progresiei geometrice. Binomiali ai ultimilor trei termeni este egală cu 22. Scrie enunturi despre greselile făcute de persoanele din jurul tau asupra mediului.

Sa se determine suma primilor nouasprezece termeni ai progresiei aritmetice a1, a2, a3,., daca a4 + a8 + a12 + a16 = 224.

Termenii sumei sunt termeni consecutivi ai unei progresii aritmetice (an)n≥1, cu a1 = 1 s, i a2 = 8, deci rat,ia r = a2 − a1 = 8 − 1 = 7. Dacă pentru orice progresie aritmetică (an)n≥1 notăm cu sn suma primilor n termeni, adică sn=a1+a2+.+an, atunci $$ s_{n}. Explicăm pe larg metoda și.

Probleme rezolvate cu ajutorul ecuatiilor. Suma primilor n termeni ai unei progresii geometrice. Termenii sumei sunt termeni consecutivi ai unei progresii aritmetice (an)n≥1, cu a1 = 1 s, i a2 = 8, deci rat,ia r = a2 − a1 = 8 − 1 = 7.

Progresia Aritmetica
vizitati articolul complet aici : https://coggle.it/diagram/X6QRFId4rn-UR6cb/t/progresia-aritmetica
Spunem ca doua numere sunt prietene daca suma divizorilor proprii ai unuia este egala cu celalalt numar i invers. Studiem suma primilor n termeni ai progresiei geometrice. Insistam aici pe exercitii cu suma primilor n termeni si cu relatii intre.

Binomiali ai ultimilor trei termeni este egală cu 22.

Să se determine primul termen şi raţia unei progresii $ teorema 3. Insistam aici pe exercitii cu suma primilor n termeni si cu relatii intre. Formula sumei sn primilor n termeni ai progresiei aritmetice:

Posting Komentar untuk "Suma Primilor N Termeni"